2020年二級建造師考試有部分地區(qū)已經(jīng)進入報名階段,考生們都在積極進行備考,做一下模擬習題也成為許多考生備考時必不可少的一步,今天就為大家提供了《建設工程施工管理》模擬試題及解析,為考生們助跑2020年二級建造師考試!
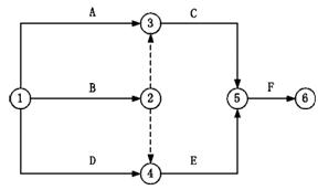
某網(wǎng)絡計劃如下圖,邏輯關系正確的是( )。

A.E的緊前工作是BD
B.A完成后同時進行CF
C.AB均完成后進行E
D.F的緊前工作是DE
『正確答案』A
『答案解析』本題考查的是雙代號網(wǎng)絡計劃。選項B,A完成后進行C工作。選項C,BD完成后進行E。選項D,F(xiàn)的緊前工作是CE。
本題涉及知識點:




