2015年監(jiān)理工程師《進度控制》每日一練(2.13)
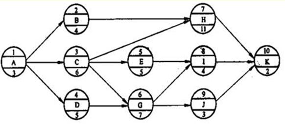
某工程單代號網(wǎng)絡計劃如下圖所示,其關鍵線路有( )條?!?/p>

A.4
B.3
C.2
D.1
建設工程教育網(wǎng)原創(chuàng)·轉載請注明出處
- ·監(jiān)理工程師每日一練免費在線測試(2015.11.12)
- ·監(jiān)理工程師每日一練免費在線測試(2015.11.11)
- ·監(jiān)理工程師每日一練免費在線測試(2015.11.10)
- ·監(jiān)理工程師每日一練免費在線測試(2015.11.9)
- ·監(jiān)理工程師每日一練免費在線測試(2015.11.8)
- ·監(jiān)理工程師每日一練免費在線測試(2015.11.6)
- ·監(jiān)理工程師每日一練免費在線測試(2015.11.5)
- ·監(jiān)理工程師每日一練免費在線測試(2015.11.4)
- ·監(jiān)理工程師每日一練免費在線測試(2015.11.3)
- ·監(jiān)理工程師每日一練免費在線測試(2015.11.2)

掃碼添加老師進群


54:00
30:20
42:06
56:15







